senarai formula matematik spm
Formula Matematik Pt3 Rumus Tingkatan 1 2 3
Formula Matematik Spm Matthewctzx
Senarai Rumus Video Pembelajaran Matematik Percuma Facebook
Rumus Matematik Examonline Spa
Senarai Rumus Matematik Tambahan Kssm
Matematik Itu Mudah Formula Lazim Topik Topik Spm
Himpunan Latihan Spm Matematik Tambahan Yang Menarik Khas Untuk Para Guru Download Pendidikan Abad Ke 21
Formula Matematik Pt3 Rumus Tingkatan 1 2 3
Formula Spm Matematik Tambahan Soalan Spm
Spm Matematik Tambahan M3t Senarai Rumus Pdf
Rumus Matematik Examonline Spa
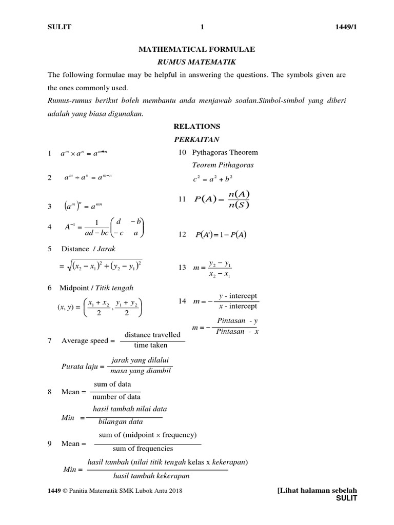
Formula Matematik 1449 Spm Pdf
Formula Spm Matematik Soalan Spm
2 Senarai Rumus Add Maths K2 Trial Spm Sbp 2010
Formula Matematik Spm Pdf Deventxc

No comments for "senarai formula matematik spm"
Post a Comment